Fakulteta za elektrotehniko, Univerza v Ljubljani
Avtor: Izr. prof. dr. Marko Jankovec
V obeh prejšnjih člankih smo za blokiranje napajanja uporabili idealne kondenzatorje, kjer nismo upoštevali njihovih parazitnih vrednosti. Le na koncu smo za dušenje paralelne resonance uporabili večji (elektrolitski) kondenzator, ki smo mu dodali majhno serijsko upornost, ki je služila za dušenje nihanja v resonanci oz. poslabšanju kvalitete nihajnega kroga.
V praksi seveda elementi niso idealni in v tem prispevku si bomo pogledali, kako nam neidealnost kondenzatorjev kvari lepe poteke impedance napajanja.
Realni kondenzator poleg osnovne kapacitivnosti izraža vsaj še dve parazitni lastnosti in sicer serijsko upornost in induktivnost, ki skupaj tvorijo serijski nihajni krog, kot kaže slika 1.
Impedanca serijskega nihajnega kroga je vsota posameznih impedanc, formula 1.


Na sliki 2 so trije grafi, ki kažejo vpliv posameznih parametrov kondenzatorja na potek njegove impedance. Z večanjem kapacitivnosti C se impedanca pri nizkih frekvencah vzporedno niža in upada proti serijski resonančni frekvenci ωs=1⁄√LsC, kjer je špica navzdol omejena z Rs. Pri frekvencah nad ωspa impedanca kondenzatorja spet narašča in je določena s serijsko induktivnostjo Ls. Vidimo lahko, da visokofrekvenčno delovanje blokirnega kondenzatorja določa prav njegova serijska induktivnost, ki tako postaja eden glavnih parametrov načrtovanja.
Serijska induktivnost je posledica fizičnih površin tokovnih zank, po katerih teče visokofrekvenčni tok skozi kondenzator. Slednje pa določa velikost, oblika in konstrukcija kondenzatorja. Rekli smo že, da se za blokiranje napajanja uporabljajo prvenstveno keramični kondenzatorji v tehnologiji površinske montaže, ki pa so izvedeni v tehnologiji MLCC (Angl. Multi-Layer Ceramic Capacitor). Za te kondenzatorje je značilno, da so izvedeni kot stisnjen sendvič mnogo kovinskih plošč, med katerimi je tanka plast keramike, ki služi kot dielektrik. Polovica plošč ima kontakt iz ene strani, polovica pa iz druge tako, da oba konca predstavljata po en priključek kondenzatorja, kot kaže slika 3.
Serijska induktivnost kondenzatorja se povečuje z dolžino poti, ki jo opiše visokofrekvenčni tok in se niža s širino te poti. Če pogledamo sliko 4, vidimo dve tipični obliki SMD kondenzatorja. Številki pomenita dimenzije širine in dolžine kondenzatorja po 10 mils. Oblika z oznako 1206 pomeni dolžino 120 mils in širino 60 mils, medtem ko je 0612 ravno obratna. Slednji je iz stališča serijske induktivnosti ugodnejši, saj je pot visokofrekvenčnega toka krajša in širša.
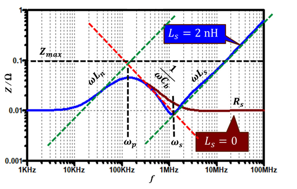
Ko se že toliko ukvarjamo z realnimi kondenzatorji, si poglejmo, kako njihove parazitne veličine vplivajo na poteke impedance v napajalnih sistemih. Vzemimo primer iz prejšnje številke revije (slika 5), ki ga sestavljajo blokirni kondenzator Cb=10μF paralelno z dušilnim kondenzatorjem Cd=160μF s serijsko upornostjo Rd=50mΩ.
Če k blokirnem kondenzatorju Cb dodamo realno vrednost njegove serijske induktivnosti Ls=2nH, dobimo potek impedance, ki jo prikazuje modra črta na sliki 6, ki pri višjih frekvencah bistveno razlikuje od idealnega poteka in presega zadano maksimalno impedanco 100mΩ.
Kaj storiti? Lahko bi vzeli kondenzator v manjšem ohišju, kar bi nekoliko znižalo njegovo serijsko induktivnost, a s tem ne bi rešili problema, saj določena vrednost kapacitivnosti zahteva ustrezno velikost ohišja. Lahko pa obstoječ blokirni kondenzator kombiniramo s kondenzatorjem v manjšem ohišju, ki bo imel manjšo kapacitivnost a tudi manjšo serijsko induktivnost. Potek impedance, ko dodamo manjši in boljši kondenzator kaže slika 7. Kot vidimo, dodatni kondenzator, kljub temu, da izkazuje nižjo serijsko induktivnost vnese dodatno paralelno resonanco ωp1=1⁄√LbCb1 , ki v resonanci presega originalni potek impedance, ki ga je prej določala zgolj serijska induktivnost Ls. Nastanek te dodatne paralelne resonance je fizikalno enak paralelni resonanci, ki smo jo obravnavali v prvotnem primeru v prejšnji številki revije, kjer smo morali dodati dušilno vezje. Dušenje teh resonanc bi torej zahtevalo vgradnjo dodatnih kondenzatorjev, katerih vrednosti in kvaliteto bi morali dobro določiti in vezje za stabilizacijo napajanja bi bilo vedno bolj težko določljivo.



Na srečo obstaja alternativna rešitev problema serijske induktivnosti, ki je precej enostavnejša. Če vežemo več enakih kondenzatorjev vzporedno nam povečuje kapacitivnost in hkrati znižuje serijsko induktivnost in učinek je podoben, kot da bi vzeli en širok in kratek kondenzator (kot npr. 0612 na sliki 4). Pri dveh vzporedno vezanih kondenzatorjih se kapacitivnost podvoji, serijska upornost in induktivnost pa se razpolovita. Pri tem serijska resonančna frekvenca ostane enaka, le impedanca se zniža v celotnem frekvenčnem področju, tako kot kaže slika 8.
Vezava več enakih kondenzatorjev torej ne vnaša dodatnih paralelnih resonanc. Pa še eno zelo pomembno prednost imamo, ko uporabljamo več blokirnih kondenzatorjev, kar pa naj ostane za naslednjo številko revije. Na tem mestu naj zaključim le še s končnim potekom impedance napajalnega vezja, kjer sem za dosego impedance pod 100mΩ do frekvence 100MHzmoral uporabiti 10 manjših kondenzatorjev po 1μF namesto enega večjega. S tem nisem vnesel nobenih dodatnih paralelnih resonanc in dosegel nizko impedanco napajanja skozi celotno frekvenčno območje.





Če nizko in srednje frekvenčno področje impedance napajanja določa skupna kapacitivnost blokirnih kondenzatorjev, njen visokofrekvenčni potek določa njihova skupna parazitna serijska induktivnost, in ta je mnogokrat pomembnejši načrtovalski parameter kot pa je sama kapacitivnost.
https://fe.uni-lj.si
