Univerza v Ljubljani, Fakulteta za elektrotehniko
Avtor: Izr. prof. dr. Marko Jankovec
V prvem delu epa o blokirnih kondenzatorjih smo si pogledali osnovno načelo blokiranja napajanja, ki je zniževanje impedance napajalnega vira za čipe, ki iz napajanja vlečejo visokofrekvenčne tokove.
Ker je frekvenčna vsebina teh tokov dokaj široka in pri kompleksnejših čipih tudi nedoločena, moramo zagotavljat nizko impedanco v širokem območju frekvenc od enosmerne do maksimalne prisotne frekvence. Ugotovili smo, da se napajalne linije skupaj z napetostnimi viri obnašajo kot induktivnosti, ki ob dodajanju blokirnih kondenzatorjev skupaj tvorijo paralelni nihajni krog. Kaj to pomeni v praksi? Beseda nihajni krog asociira nihanje, nihanje s frekvencami, to pa ponavadi v EMC svetu ne zveni blagodejno. In paralelni nihajni krogi so še posebej zlovešči v napajanjih. Zakaj?



Spomnimo se zadnjega dejanja prejšnjega prispevka. Na sliki 1 je prikazan paralelni nihajni krog, ki ga sestavljata induktivnost napajalne linije Ln in kapacitivnost blokirnega kondenzatorja Cb. Paralelna vezava sicer ni zelo očitna, ampak če vezje pogledamo iz strani čipa na izhodu proti levi in pri tem upoštevamo, da napajalni vir Un za izmenične signale predstavlja kratek stik, potem se naenkrat tuljava pojavi vezana vzporedno s kondenzatorjem.
Potek impedance takega nihajnega kroga je prikazan na sliki 2. Resonančna frekvenca je določena kot F0.

Če se slučajno frekvenca motilnega napajalnega toka pojavi v območju resonančne frekvence, bo napajalna napetost zanihala z visoko amplitudo, kot je to razvidno iz slike 3.
Idealni paralelni nihajni krog ima v svoji resonanci neskončno impedanco, v praksi seveda je le ta omejena s kvaliteto nihajnega kroga. Ta pa je odvisna od kvalitete elementov. Tukaj pa se začne paradoks: induktivnost nam predstavljajo povezave – linije na tiskanem vezju, ki so v svojem bistvu zračne tuljave, ki slovijo po svoji kvaliteti. Tudi kondenzatorji morajo biti dokaj kvalitetni, saj morajo zagotavljati nizko impedanco napajanja, kar pa lahko dosežemo samo, če izbiramo kondenzatorje z nizkimi parazitnimi vrednostmi, kot sta serijska induktivnost in upornost. Skratka, če želimo kvalitetno napajanje, moramo uporabiti kvalitetne elemente, kar pa vodi v kvaliteten nihajni krog, česar pa ne želimo. Kaj storiti ubogemu elektroniku, ki se znajde v takem precepu? Odgovor je dokaj na dlani: V nihajni krog je potrebno vnesti dušenje, ki bo znižalo impedanco v resonanci, na ostale frekvenčna področja pa ne bo vplivalo.
Dušenje nihajnega kroga izvedemo z dodajanjem izgub, ki trošijo energijo nihanja. Tako kot amortizer v avtomobilskem vzmetenju poskrbi, da absorbira energijo nihanja avta na cesti, ko zapeljemo čez razpoko, tako v vezjih za trošenje energije lahko uporabljamo dodatni dušilni upor Rd. Dodamo ga lahko na več načinov in sicer serijsko in paralelno vezanega s tuljavo ali pa s kondenzatorjem, kot je prikazano na sliki 4:



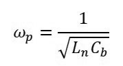
Pri zaporedni vezavi upora k tuljavi ali kondenzatorju dosežemo kritično dušenje nihajnega kroga, če izberemo vrednost upora glede na enačbo 1 (F1)
pri vzporedni vezavi pa podobno glede na enačbo 2 (F2)
V obeh primerih je vrednost upora nizka. Poglejmo si, kaj to pomeni v vseh štirih primerih vezave.
Najprej izločimo nesmisle in sicer vezava b bi pomenila, da bi vzporedno z napajalno linijo povezali upornost z zelo nizko vrednostjo, kar v praksi ni mogoče izvesti. Vezava d pa ima nizko upornost vezano vzporedno z napajanjem, kar bi pomenilo enormno porabo toka med napajanjem in maso. Tako nam za analizo preostaneta še obe serijski vezavi.
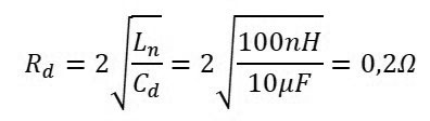
Pri serijski vezavi upora s tuljavo (primer a) dobimo naslednjo sliko impedance, gledano s strani čipa proti levi (slika 5).
Vidimo lahko, da z dodajanjem serijske upornosti povečujemo impedanco napajanja pri nizkih frekvencah. Če izberemo izračunano kritično upornost 0,2 Ω glede na enačbo, potem je dosežena impedanca višja od želene maksimalne 0,1 Ω. V našem primeru lahko izberemo tudi Rd = 0,1 Ω in bo prenihaj impedance v resonanci še vedno majhen. A problem se pojavi drugje in sicer, prek upora Rd teče ves napajalni tok. To pa v primeru večjih napajalnih tokov ne more biti v redu. Zato se tak način dušenja resonance uporablja zgolj v primeru, ko so napajalni tokovi majhni – npr. za filtriranje napajanja analognih (operacijskih) ojačevalnikov.
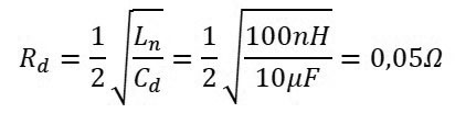
Pri serijski vezavi upora s kondenzatorjem (primer c) dobimo naslednjo sliko impedance, gledano s strani čipa proti levi (slika 6).
Tukaj pa vrednost upornosti Rd zvišuje impedanco napajanja pri visokih frekvencah, saj se prišteva k impedanci kondenzatorja, ki z višanjem frekvenco upada. In tudi tukaj nam maksimalno zadano impedanco napajanja zagotavlja vrednost upora Rd = 0,1 Ω, ki je tukaj na srečo dokaj blizu upornosti kritičnega dušenja 0,2 Ω.


Dokaj očitno je, da noben od zgornjih štirih primerov ne nudi idealnega dušenja nihajnega kroga ne da bi vplival na impedanco napajanja v širšem frekvenčnem področju.
Na srečo imamo še eno možnost in ker je še nekaj prostora, ne bo treba čakati na naslednjo številko revije.
Izvedbo dušenja d na sliki 4, ki smo jo sicer odpisali kot neprimerno zaradi visoke tokovne porabe, lahko nadgradimo. Paralelna vezava dušilnega upora je iz stališča vpliva na impedanco napajanja v širokem frekvenčnem pasu zelo ugodna, saj impedanco znižuje. Le poraba toka je problematična. To pa lahko odpravimo tako, da zaporedno z dušilnim uporom povežemo kondenzator, kot prikazuje slika 7.
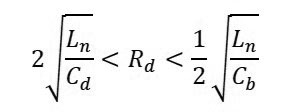
Vprašanje seveda je, kako določiti vrednosti dodanega dušilnega kondenzatorja Cd in upora Rd? Prenizka vrednost kondenzatorja Cd bo povzročila, da upornost Rd ne bo še učinkovala pri paralelni resonančni frekvenci. Izkustveno pravilo pravi, da naj bo kapacitivnost Cd vsa 16x višja od kapacitivnosti blokirnega kondenzatorja Cb. Kaj pa vrednost upora Rd? Tukaj pa je razmislek nekoliko daljši in sicer prenizka vrednost Rd bi pomenila, da damo k obstoječemu kondenzatorju Cb še en visokokvaliteten kondenzator, s čimer bomo zgolj premaknili resonanco k nižjim frekvencam. Če pa je vrednost Rd previsoka, potem pa dušenje glede na enačbo ne bo učinkovito. Izkaže se, da se optimalna vrednost dušilnega upora giblje med (glej F3).



V našem primeru izberemo Cd = 160 µF in Rd = 0,05 Ω. Na sliki 8 je prikazana impedanca napajanja s strani čipa pri različnih vrednostih dušilnega upora Rd, kjer se lepo vidi premik resonance pri zelo nizkih vrednostih Rd in izraženost osnovne resonance pri visokih vrednostih Rd.
Vmes se nahaja optimum (siva črta), ki predstavlja končno izvedbo blokiranja napajanja z dušilnim uporom, ki ima najnižjo možno impedanco v celotnem frekvenčnem območju z minimalno izraženo resonanco, ki je še vedno pod mejo zgornje vrednosti želene impedance napajanja.
V praksi se za blokirne kondenzatorje uporabljajo keramični kondenzatorji, ki so pretežno visoke kvalitete z nizko serijsko upornostjo. Dušilni kondenzator pa je lahko zaradi višje kapacitivnosti lahko tudi elektrolitski ali tantalov in kot tak ima že sam po sebi višjo notranjo serijsko upornost, če imamo srečo celo tako, kot je optimalna upornost Rd. V tem primeru dodatna upornost ni potrebna.
Če povzamem, potrebujemo dober kondenzator za znižanje impedance pri visokih frekvencah in slab velik kondenzator za dušenje paralelne resonance. In na srečo imamo oboje na voljo.
